全国咨询热线13817443004
热门新闻ot news
联系我们ontact
地址:上海市松江汉桥文化科技园B座703
咨询热线:13817443004
微信公众号
F01:Saloux方法
这是Z简单的显式方法[64],因为它是基于ISDM,i。e., 这两种寄生阻力都被忽略了。 这意味着接收站= 0 W和Rsh! ¥ .估计和转换其他参数的基本表达式为(公式(136)-(141 )):

F02:Phang方法
Z初,该方法[25]估计OC点和SC点的斜率来计算Rs0和Rsh0各自地

然后,计算以下变量A、B、C、D:

为了估计初始条件下的5个SDM参数(G1,T1)、(式(148)至(152))均可使用:

该方法通过使用(方程式(76)、(77)、(79)和(80))将参数修正到目标条件(G2、 T2),并通过模拟新的曲线。
F03:古巴(a)的方法
同一作者提出了不同的显式方法。这D一个方法[65]从假设开始Rsh0由(方程式(143)) 给出。然后,继续通过(式(153)-(155))计算辅助变量A、B和C:

下一步是计算SDM在以下条件下(G1,T1),通过(式(156)至(161)):

Z后,使用式(式(76)、(77)、(79)和(80))将这些参数从(G1、T1)至(G2,T2).
F04:古巴(b)的方法
在此,Rsh0以不同的方式估计[65](式(162)):

其中,K = 34.49692为经验值。 其他方程与前面的方法G03中给出的相同,除了用(公式(157))替代新的(公式(163)) :

F05:古巴(c)的方法
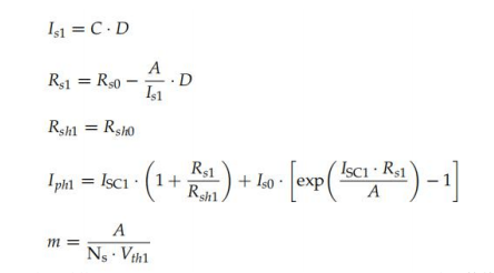
在该方法[66]中,假设二极管理想性因子m的值事先已知。然后,使用(式(164)-(168 ))估计以下变量a、A、B、C和D:

下一步是计算串联电阻Rs1通过(式(169)),它使用W-1{·}(W-兰伯特函数[82]的下一个分支):

Z后,Rsh1可以使用(公式(163))进行估计,而Iph1和是1分别使用(公式(160)和( 161))来确定。
F06:汗的方法
这种方法[67]从估计开始接收站0和Rsh0分别使用(公式(142)和(143)),并假设在初 始条件下存在平行电阻Rsh1= Rsh0.下一步是计算串联电阻的值接收站1 用 (方程(170)):

然后,通过(式(171)-(174))计算剩下的三个参数:

F07:Petrone方法
由Petrone等人提出的方法。[26]也是基于SDM的显式表达式,在以下方面W0{·},w-朗伯 特函数的主要分支。为了计算出涉及到初始条件的五个参数(G1,T1),应按顺序执行(公式 (175)-(183)):

F08:SPR法
坎尼扎罗等人。[68]证明了可以只忽略其中一个寄生电阻而不会损失很大的精度。要忽略 的电阻(串联或并联)的选择取决于一个称为串并联比(SPR)的指标的值,可通过以下方法 进行估计:

一旦已知SPR的值,要执行的方程组取决于SPR > 0还是SPR < 0。在D一种情况下,忽略了平 行电阻(Rsh!¥)和(式(188)-(191))被考虑在内:

在第二种情况下,忽略串联电阻(必须执行式(192)-(198)):
(接收站= 0 W)和
其中W-1{·}是w-兰伯特矩阵的下一个分支。
F09:白法
这个方法[69]从估计开始接收站0和Rsh0分别使用(式(142)和(143))。之后,需要计 算辅助变量A和B:

在下面,SDM的五个参数被称为(G1,T1)的计算方法为(式(201)-(206)):

F10:克里斯塔尔迪的方法
在这种方法[70]中,不使用经典的SDM,而是假设一个导出的模型(忽略平行电阻Rsh), 其中I-V曲线表示为电压V的电流I返回值的函数(公式(207)):

要确定的新参数在哪里Iph,职业,Rshand A,后者代表Ns·m·的乘积Vth. D一步是根据初始温度估计参数A1T1,可通过(式(208))来执行:

照片生成的电流Iph1和串联电阻接收站1可分别使用(式(209)和(210))进行估计:

为了转换照片产生的电流Iph对于目标条件,我们可以使用(公式(211)和(212)):

此外,(式(213))可以修正A1从初始条件到目标条件,假设T1和T2用开尔文表示:

开路电压职业可以从(G1,T1)至(G2,T2)使用(式(214)和(215)):

Z后,假设Rs2=接收站1,我们可以模拟在(G2、T2使用(公式(207))。
F11:显式血清法
在该方法[71]中,必须执行以下方程序列来获得SDM模型的参数(忽略并行电阻Rsh):

F12:显式托莱多法
该方法由Toledo和Blanes [72]提出,它将SC和初始I-V曲线的另外三个任意点作为输入。 在我们的论文中,该方法使用SC、OC、MPP和MPP和OC之间的另一个附加点进行了测试,使用= 10的a-幂函数估计(该函数也由[72]定义)。 D一个方法从假设Rsh开始0由(方程式(143))给出。让{V1,V2,V3}是四个选定的点的 电压坐标,和{I1,I2,I3}这些点的当前坐标。然后,辅助变量f1,F2和F3计算结果:

下一步是对A、B、C、D的估计:

Z后,计算各参数在初始条件下(G1,T1)可以使用(式(228)-(232))进行估计:

明确的蝙蝠虫的方法(b) 除了A10方法,巴泽利斯和帕帕塔纳苏[93]提出了一种类似的方法,能够确定SDM的5个参 数。在D一步中,有必要进行评估60使用(公式(35))和w0通过(式(36))。接下来,我们 根据初始条件(方程(233)-(238))计算SDM的参数:

Z后,方法F14、F15、F16、F17、F18、F19、F20、F21、F22、F23、F24、F25、F26分别与F01 到F13的方法相同,仅改变(式(88)(式(76))。